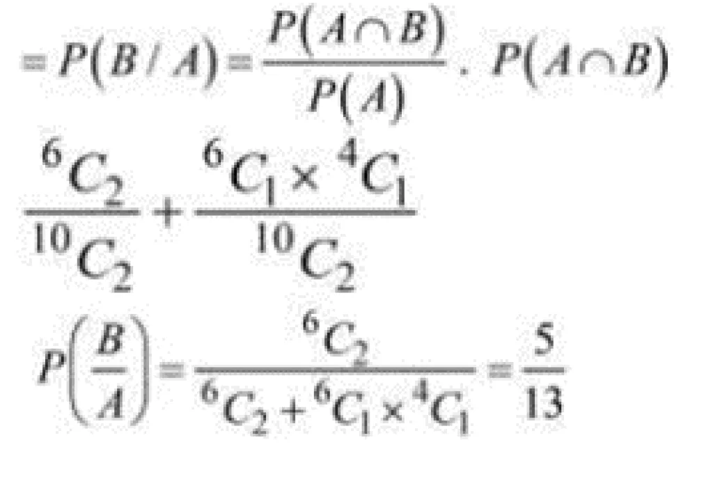
A box contains 10 mangoes out of which 4 are rotten. 2 mangoes are taken out together. If one of them is found to be good, the probability that the other is also good is?
(a) 1/3
(b) 8/15
(c) 5/13
(d) 2/13
Sol:
A = Event that first mango is good.
B = Event that second mango is good.
Reqd. Prob.





