| Question | A tank can be filled in 10 hours. After a leak in its bottom, it takes 12 hours to fill the tank. Find the time taken by the leak to empty the full tank? | |
| Type | multiple_choice | |
| Option | 45 hours | incorrect |
| Option | 60 hours | correct |
| Option | 50 hours | incorrect |
| Option | 55 hours | incorrect |
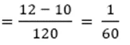
Part of the tank filled in one hour before the leak = 1/10
Part of the tank filled in one hour after the leak = 1/12
Part of the tank emptied in one hour by the leak = 1/10 – 1/12

1/60
part of tank will be emptied in one hour by the leak
∴ The full tank will be emptied by the leak in 60 hours.
Solution 2:
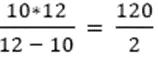
Apply formula; =

X = 10 hours
Y = 12 hours





