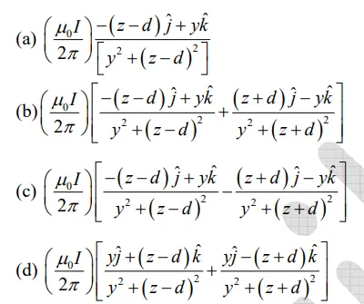
Q. An infinitely long wire parallel to the x-axis is kept at 𝑧 = 𝑑 and carries a current I in the positive x direction above a superconductor filling the region 𝑧 ≤ 0 (see figure). The magnetic field 𝐵⃗→ inside the superconductor is zero so that the field just outside the superconductor is parallel to its surface. The magnetic field due to this configuration at a point (𝑥, 𝑦, 𝑧 > 0) is


Ans: Option B
Sol:





