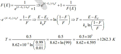
Q. At temperature T Kelvin (K), the value of the Fermi function at an energy 0.5 eV above the Fermi energy is 0.01. Then T, to the nearest integer, is___________(𝑘B = 8.62 × 10−5 eV/K)
Ans: 1262
Sol:


Q. At temperature T Kelvin (K), the value of the Fermi function at an energy 0.5 eV above the Fermi energy is 0.01. Then T, to the nearest integer, is___________(𝑘B = 8.62 × 10−5 eV/K)
Ans: 1262
Sol:
