
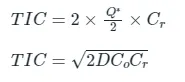
Q. For a classical (Wilson) model of determining economic order quantity (EOQ), the carrying and ordering costs are Cr and Co, respectively. For an annual demand D, the minimum yearly total inventory cost is

Ans: Option C
Sol:
Carrying cost = Cr, Ordering Cost = Co,
D = Anual demand For economic order quantity EOQ,

at EOQ, OC = HC
TIC = OC + HC
TIC = 2 × HC
