Q. For the abrasive jet machining process, the ratio of abrasive volume to carrier gas volume is 0.25. Further, the ratio of abrasive density to carrier gas density is 25. The mass ratio of abrasive to the mixture of abrasive and carrier gas is
Ans: 0.85 – 0.90
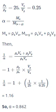
Sol:
We know that,
Mixing Ratio (MR):

Calculation:





