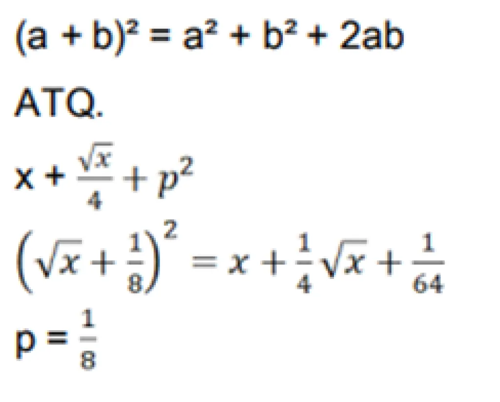
For what value of ‘ p’ is x + ¼ √x+p2 is perfect square HomeQuantitative aptitudeFor what value of ‘ p’ is x + ¼ √x+p2 is perfect squarequantitative aptitudeFor what value of ‘ p’ is x + ¼ √x+p2 is perfect square.(a) -1/8(b) 1/8(c) 1/12(d) -1/12Sol:
In a class, 15% of total number of students failed in Science, 25% of total number of students failed in Maths and 10% of total number of students failed in both. How much percentage of students passed in both Maths and Science?