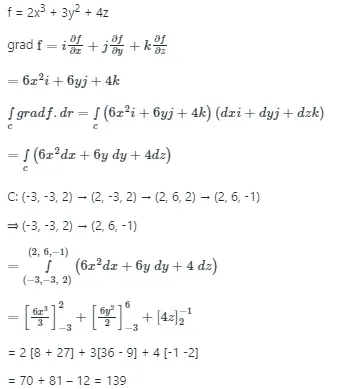
Q. If π = 2π₯3 + 3π¦2 + 4π§, the value of line integral β«πΆ gradπ β ππ« evaluated over contour C formed by the segments (-3, -3, 2)β(2, -3, 2) β(2, 6, 2) β(2, 6, -1) is
Ans:


Q. If π = 2π₯3 + 3π¦2 + 4π§, the value of line integral β«πΆ gradπ β ππ« evaluated over contour C formed by the segments (-3, -3, 2)β(2, -3, 2) β(2, 6, 2) β(2, 6, -1) is
Ans:
