If height of a cylinder is 6 times the circumference, find the volume of the cylinder in terms of circumference
(a) 2πc²
(b) C³ π
(c) 3c2 / π
(d) 3c2 / 2π
Sol:


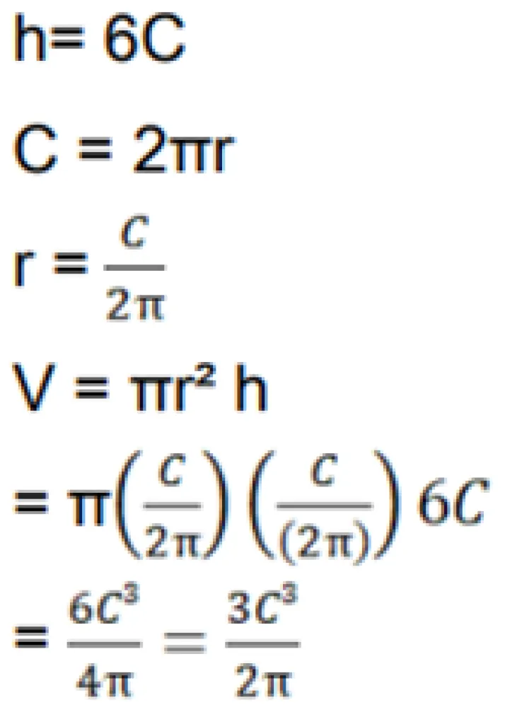
If height of a cylinder is 6 times the circumference, find the volume of the cylinder in terms of circumference
(a) 2πc²
(b) C³ π
(c) 3c2 / π
(d) 3c2 / 2π
Sol:
