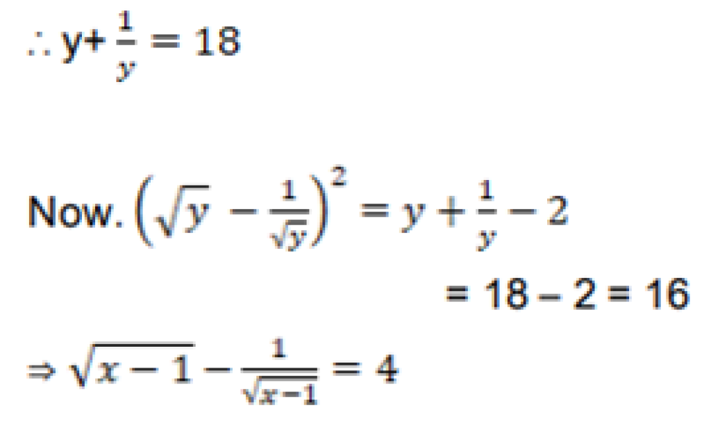
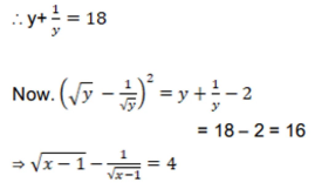
If x – 10 = 4 , then HomeQuantitative aptitudeIf x – 10 = 4 , then quantitative aptitudeIf x – 10 = 4 , then (a) 4(b) 5(c) 2 √2(d) 4 √2Sol:Let y = x – 1 = 9 + 4 √5and 1/y=1/x-1=9-4√5
In a class, 15% of total number of students failed in Science, 25% of total number of students failed in Maths and 10% of total number of students failed in both. How much percentage of students passed in both Maths and Science?