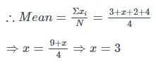
If x is the mean of data 3, x, 2 and 4, then the mode is HomeGATEIf x is the mean of data 3, x, 2 and 4, then the mode is gate questionsQ. If x is the mean of data 3, x, 2 and 4, then the mode is Ans: 3Sol:Given data are 3, x, 2, and 4
Some students were not involved in the strike. If the above statement is true, which of the following conclusions
The radius as well as the height of a circular cone increases by 10%. The percentage increase in its volume is