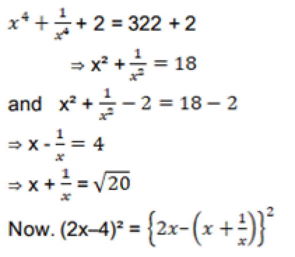
If x4+1/x4=322, then (2x–4)2 = ? HomeQuantitative aptitudeIf x4+1/x4=322, then (2x–4)2 = ?quantitative aptitudeIf x4+1/x4=322, then (2x–4)2 = ?(a) 14(b) 20(c) 16(d) 24Sol:
In a class, 15% of total number of students failed in Science, 25% of total number of students failed in Maths and 10% of total number of students failed in both. How much percentage of students passed in both Maths and Science?