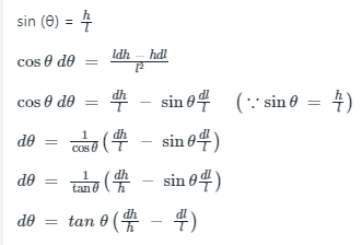
Q. In a sine bar, let h denote height of slip gauge and l be the distance between the rollers. The relationship between error in angular measurement ( dq ) and errors in the slip gauge combination ( dh ) and in the spacing of the rollers ( dl ) is

Ans:
Sol:
h = height of slip gauges
l = distance between rollers





