In the circuit shown below, a step input voltage of magnitude 5 V is applied at node A at time 𝑡 = 0. If the capacitor has no charge for t £ 0

In the circuit shown below, a step input voltage of magnitude 5 V is applied at node A at time 𝑡 = 0. If the capacitor has no charge for t £ 0

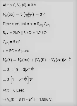
Q. In the circuit shown below, a step input voltage of magnitude 5 V is applied at node A at time 𝑡 = 0. If the capacitor has no charge for t £ 0 , the voltage at node P at 𝑡 = 6 𝜇s is_____________V. (Answer should be rounded off to two decimal places)

Ans: 1.87 – 1.91

Scroll to Top