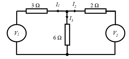
Q. In the given circuit, superposition is applied. When V2 is set to 0 V, the current I2 is -6 A. When V1 is set to 0 V, the current I1 is +6 A. Current I3 (in A) when both sources are applied will be (up to two decimal places)

Ans: 0.95-1.05

Q. In the given circuit, superposition is applied. When V2 is set to 0 V, the current I2 is -6 A. When V1 is set to 0 V, the current I1 is +6 A. Current I3 (in A) when both sources are applied will be (up to two decimal places)

Ans: 0.95-1.05