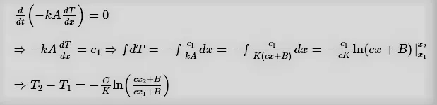
Q. One-dimensional steady state heat conduction takes place through a solid whose cross-sectional area varies linearly in the direction of heat transfer. Assume there is no heat generation in the solid and the thermal conductivity of the material is constant and independent of temperature. The temperature distribution in the solid is
(A) Linear (B) Quadratic
(C) Logarithmic (D) Exponential
Ans: Logarithmic
Sol:
Cross-sectional area varies linearly in the direction of heat transfer:
A = cx + B
1 – D steady state with no heat generation





