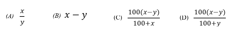
Q. Population of state X increased by x% and the population of state Y increased by y% from 2001 to 2011. Assume that x is greater than y. Let P be the ratio of the population of state X to state Y in a given year. The percentage increase in P from 2001 to 2011 is

Ans:

Solution:
Let a,b be initial population
Given a/b=p (ratio earlier)





