Q. Suppose π is distributed uniformly in the open interval (1,6). The probability that the polynomial 3π₯2 + 6π₯π + 3π + 6 has only real roots is (rounded off to 1 decimal place)
Solution:
For a quadratic polynomial ax2 + bx + c = 0. There are three condition:
b2 – 4ac > 0 {real and distinct root, i.e., two real roots}
b2 – 4ac = 0 {real and equal roots, i.e., only one real root}
b2 – 4ac < 0 {imaginary roots}
Polynomial 3×2 + 6xY + 3Y + 6 has only real roots,
β b2 β 4ax β₯ 0
β (6Y)2 β 4(3) (3Y+ 6) β₯ 0
β Y2 β Y + 2 β₯ 0
Y β (ββ, β 1] β© [2, β)
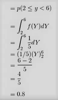
β Y β [2, 6)
Since y is uniformly distributed in (1, 6).
Probability distributed function,
Β f(Y) = (1/5), 1 < y > 6
Hence





