| Question | The circumference of a jogging track is 735 m. Peter and Tom start walking from the same point at the same time in opposite direction. If they are walking at 6 km/hr and 8 km/hr respectively, after how much time they will meet? | |
| Type | multiple_choice | |
| Option | 3 minutes | incorrect |
| Option | 3.12 minutes | incorrect |
| Option | 3.15 minutes | correct |
| Option | 4 minutes | incorrect |
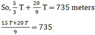
Let both of them meet after time T
Distance travelled by Peter = Speed x Time

Distance travelled by Tom = Speed x Time

Now, the sum of the distances covered by them would be equal to the circumference of the track.

35 T = 735 * 9
35 T = 6615
T =6615⁄35= 189 seconds
Time in minutes =189⁄60 = 3.15 minutes (Option C)




