Q. The following details refer to a closed traverse:
| Line | Consecutive coordinate | |||
| Northing (m) | Southing (m) | Easting (m) | Westing (m) | |
| PQ | —- | 437 | 173 | —- |
| QR | 101 | —- | 558 | —- |
| RS | 419 | —- | —- | 96 |
| SP | —- | 83 | —- | 634 |
The length and direction (whole circle bearing) of closure, respectively are
A. 1 m and 90°
B. 2 m and 90°
C. 1 m and 270°
D. 2 m and 270°
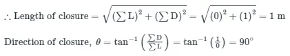
Ans: 1 m and 90°
Sol:
∑Northing = 101 + 419 = 520 m
∑Southing = 437 + 83 = 520
∑Easting = 173 + 558 = 731 m
∑Westing = 96 + 634 = 730 m
∑L = ∑Northing – ∑Southing = 520 – 520 = 0
∑D = ∑Easting – ∑Westing = 731 – 730 = 1 m





