Q. The forward path transfer function L(s) of the control system shown in Figure (a) has the asymptotic Bode plot shown in Figure (b). If the disturbance d (t) is given by d(t) = 0.1sin(wt) where w = 5 rad s , the steady-state amplitude of the output y(t) is

Sol:
as r = 0
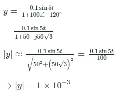
y = – y L(s) + d

From bode magnitude plot
At ω = 5 rad/sec, magnitude of L(s) = 40 dB
⇒ magnitude of L(s) = 100
From Bode phase plot
∠L(s) = 120° at ω = 5 rad/sec L(s) at 5 rad/sec = 100 ∠-120°





