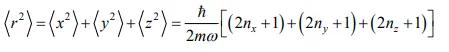
Q. The Hamiltonian for a quantum harmonic oscillator of mass 𝑚 in three dimensions is

where 𝜔 is the angular frequency. The expectation value of 𝑟2 in the first excited state of the oscillator in units of

(rounded off to one decimal place) is
Ans: 2.5
Sol:






