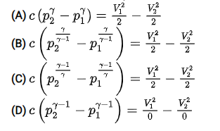
Q. The relation between pressure (p) and velocity (V) for a steady, isentropic flow at two points along a streamline is, (c is a constant)

Ans: Option C

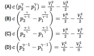
Q. The relation between pressure (p) and velocity (V) for a steady, isentropic flow at two points along a streamline is, (c is a constant)

Ans: Option C