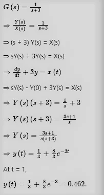
Q. The transfer function relating the input π₯(π‘) to the output π¦(π‘) of a system is given by G(s) = 1 (s + 3) . A unit-step input is applied to the system at time t = 0 . Assuming that π¦(0) = 3, the value of π¦(π‘) at time π‘ = 1 isΒ Β Β Β Β Β Β Β (Answer should be rounded off to two decimal places)
Ans: 0.46 – 0.48





