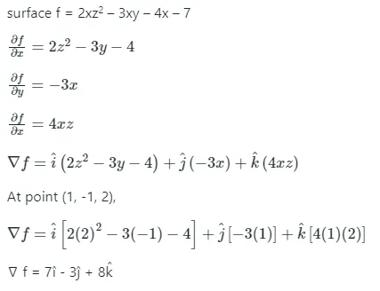
Q. The vector that is normal to the surface 2x z2 – 3x y – 4 x = 7 at the point (1, –1, 2) is
(A) 2i – 3j + 8k (B) 2i + 3j + 4k
(C) 7i – 3j + 8k (D) 7i – 5j + 8k
Ans: 7i – 3j + 8k
Sol:


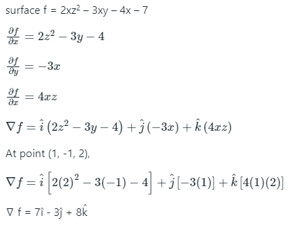
Q. The vector that is normal to the surface 2x z2 – 3x y – 4 x = 7 at the point (1, –1, 2) is
(A) 2i – 3j + 8k (B) 2i + 3j + 4k
(C) 7i – 3j + 8k (D) 7i – 5j + 8k
Ans: 7i – 3j + 8k
Sol:
