
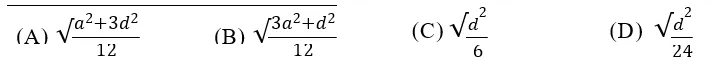
Q. The wave function π(π₯) of a particle is as shown below

Here πΎ is a constant, and π > π. The position uncertainty γΞπ₯γ of the particle is

Ans: Option (B)

Q. The wave function π(π₯) of a particle is as shown below

Here πΎ is a constant, and π > π. The position uncertainty γΞπ₯γ of the particle is

Ans: Option (B)