There are six members, P, Q, R, S, T and U, in a family. T is the brother of P’s husband. U is the mother of T. Q is the daughter of S and P and the granddaughter of R. How is R related to T?

There are six members, P, Q, R, S, T and U, in a family. T is the brother of P’s husband. U is the mother of T. Q is the daughter of S and P and the granddaughter of R. How is R related to T?

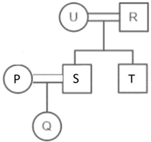
QuestionThere are six members, P, Q, R, S, T and U, in a family. T is the brother of P’s husband. U is the mother of T. Q is the daughter of S and P and the granddaughter of R. How is R related to T?
Typemultiple_choice
OptionFathercorrect
OptionSonincorrect
OptionBrotherincorrect
OptionUncleincorrect

Solution:

Scroll to Top