Two statements are given followed by two conclusions numbered I and II. Assuming the statements to be true

Two statements are given followed by two conclusions numbered I and II. Assuming the statements to be true

Two statements are given followed by two conclusions numbered I and II. Assuming the statements to be true, even if they seem to be at variance with commonly known facts, decide which of the conclusions logically follow(s) from the statements.

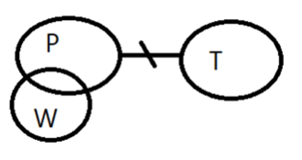
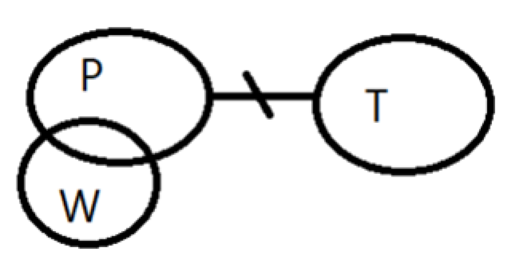
Statements:

No P is a T. Some P are W Conclusions:

I.             All W are T.

II.            Some W are P.

III.           Some T are not W

A.            Only conclusion I follows.

B.            All conclusions follow.

C.            Only conclusion II follows.

D.            Only Conclusion III and II follows

Sol:

Scroll to Top