NCERT Solutions for class 12 Physics | Chapter 7 - Alternating Current

Questions
1 Transformer works on the principle of:
A convertor
B invertor
C mutual induction
D self-induction

Answer:mutual induction
2 In series resonant circuit:
A reactance is zero
B current is zero
C voltage is zero
D None of these

Answer:None of these
3 An acceptor circuit is :
A series resonant circuit
B parallel resonant circuit
C LCR circuit
D None of these

Answer:series resonant circuit
4 Energy dissipates in LCR circuit in :
A L only
B C only
C R only
D All of the above°

Answer:R only
5 A broadcast circute broadcasts at 300 m band. A condenser of capacitance 2.4 lµF is available. The value of the inductance required for resonant circuit is:
A 10-4 H
B 10-8 H
C 10-6 H
D 10-2 H

Answer:10-8 H
6 An iron core transformer with a turns ratio of 8 : 1 has 120 V applied across the primary. The voltage across the
A 15 V
B 120 V
C 180 V
D 960 V

Answer:15 V
7 The dimensional formula of L/R is similar to that of:
A frequency
B time
C length
D none of these

Answer:time
8 The dimensional formula of impedance is;
A [ML2T-2A-2]
B [ML2T-3A-2]
C [ML2T-2A-1]
D [ML2T-2A-3]

Answer:[ML2T-3A-2]
9 Power factor of an ac circuit is a measure of:
A virtual power
B power lost in the circuit
C mean power
D all the above

Answer:power lost in the circuit
10 Which of the following has dimensions different from the rest?
A L/R
B 1/RC
C √LC
D RC

Answer:1/RC
11 What is the ratio of inductive and capacitance reactances in an ac circuit?
A 1
B ω²L
C ω²LC
D l

Answer:ω²LC
12 In parallel resonant circuit:
A impedance is very high
B current is very high
C voltage is very high
D None of these

Answer:impedance is very high
13 An ac ammeter connected in series in an ac circuit reads 5A. The peak value of current:
A 5 A
B 5√2A
C 5/√5 A
D zero

Answer:5√2A
14 Which of the following effects is not shown in alternating current ?
A Chemical effect
B Magnetic effect
C Heating current
D All of these

Answer:Chemical effect
15 An electric circuit containing capacitor only suffers:
A equal resistance for A.C. and D.C.
B Resistance of A.C. > Resistance of D.C.
C Resistance for A.C. < Resistance of D.C.
D offers infinite resistance for D.C.

Answer:offers infinite resistance for D.C.
16 The average power dissipation in pure inductance or capacitance is:
A Class 12 Physics Chapter 7 Alternating Current
B Class 12 Physics Chapter 7 Alternating Current
C either (a) or (b)
D zero

Answer:zero
17 The band width of a series resonant circuit is :
A f0/Q0
B R/2πL
C R/4πL
D 4R

Answer:f0/Q0
18 The natural frequency of an L -C-Circuit is equal to :
A Class 12 Physics Chapter 7 Alternating Current
B Class 12 Physics Chapter 7 Alternating Current
C Class 12 Physics Chapter 7 Alternating Current
D Class 12 Physics Chapter 7 Alternating Current

Answer:B
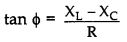
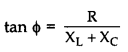
19 In series LCR circuit, the phase angle between supply voltage and current is
A Class 12 Physics Chapter 7 Alternating Current
B Class 12 Physics Chapter 7 Alternating Current
C Class 12 Physics Chapter 7 Alternating Current
D Class 12 Physics Chapter 7 Alternating Current

Answer:A
20 Which of the following graphs represents the correct variation of inductive reactance XL with frequency u?
A Class 12 Physics Chapter 7 Alternating Current
B Class 12 Physics Chapter 7 Alternating Current
C Class 12 Physics Chapter 7 Alternating Current
D Class 12 Physics Chapter 7 Alternating Current

Answer:B

Chapters