Electric Charges and Fields - Class 12 Physics Notes

Electric Charges and Fields Class 12 Physics Notes Chapter 1

Electrostatics deals with the study of forces, fields and potentials arising from static charges.

Electric Charge

Electric charge is the physical property of matter that causes it to experience a force when kept in an electric or magnetic field. An electric charge is associated with an electric field and the moving electric charge generates a magnetic field.

Combination of electric and magnetic fields is known as the electromagnetic field. Interaction of the charges generates an electromagnetic force which is the foundation of Physics.

The two types of electric charges are: Positive and Negative, commonly carried by charge carriers protons and electrons. Examples of the types of charges are subatomic particles or the particles of matter protons are positively charged, electrons are negatively charged and neutrons have zero charge.

Conductors and Insulators

An electrical conductor is defined as materials that allow electricity to flow through them easily. This property of conductors that allow them to conduct electricity is known as conductivity. The flow of electrons in a conductor is known as the electric current. The force required to make that current flow through the conductor is known as voltage.

Insulators are materials that hinder the free flow of electrons from one particle of the element to another. The common process of charging of such elements includes charging by rubbing (for some elements, with the help of suitable materials) and charging by induction.

Some of the common insulator examples are Plastic, Wood, Glass etc.

Charging by Induction

The induction charging is a charging method that charges an object without actually touching the object to any another charged object. The charging by induction process is where the charged particle is held near an uncharged conductive material that is grounded on a neutrally charged material. The charge flows between two objects and the uncharged conductive material develop a charge with opposite polarity.

Basic Properties of Electric Charge

There are certain basic properties of electric charge that they follow. The electric charges are considered as point charges if the size of the electrically charged bodies is so small. Apart from the above-mentioned properties of electric charge, there are certain other basic properties they possess. They are

  1. Additive property of electric charge:
  2. Conservative nature of charge:
  3. Quantization of charge:

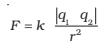
Coulomb’s Law

Coulomb’s law is a quantitative statement about the force between two point charges. The quantitative expression for the effect of these three variables on electric force is known as Coulomb's law. Coulomb's law states that the electrical force between two charged objects is directly proportional to the product of the quantity of charge on the objects and inversely proportional to the square of the separation distance between the two objects.

If two point charges q1, q2 are separated by a distance r in vacuum, the magnitude of the force (F) between them is given by

Class 12 Physics Notes

Forces between multiple charges

Consider a system of three charges q1, q2 and q3. The force on one charge, say q1, due to two other charges q2, q3 can therefore be obtained by performing a vector addition of the forces due to each one of these charges. Thus, if the force on q1 due to q2 is denoted by F12, F12 is given by Eq. (1.3) even though other charges are present.

Class 12 Physics Notes

Mathematically, the forces between multiple charges using the principle of superposition is given by:

F Total= F1 + F2 + F3 + … Fn

Where F net is the total electrostatic force on a particle in a system of n particles and F1, F2, F3 … Fn are the forces applied by particle 1, 2, 3, … n, respectively.

Electric Field

Electric field can be considered as an electric property associated with each point in the space where a charge is present in any form. An electric field is also described as the electric force per unit charge.

The electric field produced by the charge Q at a point r is given as

Class 12 Physics Notes

The effect of the charge has been incorporated in the existence of the electric field. We obtain the force F exerted by a charge Q on a charge q, as

Class 12 Physics Notes

Electric field due to a system of charges

According to the superposition principle, the total electric field at a point in space is equal to the vector sum of individual fields present.

Class 12 Physics Notes

Physical significance of electric field

Calculations of electric field intensity are of tremendous importance due to the technological applications of electric forces.

  • It helps in finding the electric force experienced by a unit positive charge when placed at a point in the system of multiple charges.Electric field is a thus independent of the amount of the test charge and is property of system of charges i.e the source charges.
  • It gives the magnitude and direction of the electric force.
  • In time varying electromagnetic properties,the concept of electric field intensity becomes very important.

Electric Field Lines

An electric field line is an imaginary line or curve drawn through a region of empty space so that its tangent at any point is in the direction of the electric field vector at that point. The relative closeness of the lines at some place gives an idea about the intensity of electric field at that point. Properties of Electric Field Lines are:

  • The field lines never intersect each other.
  • The field lines are perpendicular to the surface of the charge.
  • The magnitude of charge and the number of field lines, both are proportional to each other.
  • The start point of the field lines is at the positive charge and end at the negative charge.
  • For the field lines to either start or end at infinity, a single charge must be used.

Electric Flux

Electric flux is the rate of flow of the electric field through a given area. Electric flux is proportional to the number of electric field lines going through a virtual surface.

If the electric field is uniform, the electric flux passing through a surface of vector area S is ΦE=E⋅S=EScosθ where E is the magnitude of the electric field (having units of V/m), S is the area of the surface, and θ is the angle between the electric field lines and the normal ( perpendicular ) to S.

Electric Dipole

An electric dipole is a pair of equal and opposite point charges q and –q, separated by a distance 2a. The line connecting the two charges defines a direction in space. By convention, the direction from –q to q is said to be the direction of the dipole. The mid-point of locations of –q and q is called the centre of the dipole. The total charge of the electric dipole is obviously zero. This does not mean that the field of the electric dipole is zero.

The field of an electric dipole

A electric dipole is a separation of opposite electrical charges and it is quantified by an electric dipole moment. The electric dipole moment associated with two equal charges of opposite polarity separated by a distance, d is defined as the vector quantity having a magnitude equal to the product of the charge and the distance between the charges and having a direction from the negative to the positive charge along the line between the charges.

Physical significance of dipoles

The physical significance of dipole is it gives a measure of the polarity/polarization of a net neutral system. If the dipole moment is small, either the charges are small or the separation is small. The electric field due to the polarization will be small. If the polarization is large (large charges/large separation), the electric field will be distinctly non-monopole.

Dipole in a Uniform External Field

When two charges in a dipole are separated by some distance, the forces acting at different points result in torque on the dipole. The torque tries to align the dipole with electric field. Once aligned, the torque becomes 0.

Magnitude of torque = qE x 2a sinθ = 2qaE sinθ = pEsinθ.

Direction of the torque= normal to the plane coming outwards.

Continuous Charge Distribution

The continuous charge distribution system is a system in which the charge is uniformly distributed over the conductor. In continuous charge system, infinite numbers of charges are closely packed and have minor space between them. Unlikely from the discrete charge system, the continuous charge distribution is uninterrupted and continuous in the conductor. There are three types of the continuous charge distribution system: Linear Charge Distribution, Surface Charge Distribution and Volume Charge Distribution.

Gauss’s Law

According to Gauss’s law, the total of the electric flux out of a closed surface is equal to the charge enclosed divided by the permittivity. The total electric flux through a closed surface is zero if no charge is enclosed by the surface.

Gauss’s law is true for any closed surface, no matter what its shape or size.

The term q on the right side of Gauss’s lawincludes the sum of all charges enclosed by the surface. The charges may be located anywhere inside the surface.

Applications of Gauss’s Law

Field due to infinitely long straight uniformly charged wire

Consider an infinitely long straight wire carrying a uniformly distributed positive charge. Its linear charge density, 𝜆, is the charge per unit length of the wire, i.e., 𝜆 = q/l, where q is the total charge on the conductor distributed over length l of the wire. The wire considered has an axis of symmetry. In order to calculate the electric field strength due to the wire, let us consider a Gaussian cylinder of radius r and length l around the wire.

Field due to a uniformly charged infinite plane sheet

Consider an infinite thin plane sheet of positive charge with a uniform surface charge density σ on both sides of the sheet. Let P be the point at a distance a from the sheet at which the electric field is required. Draw a Gaussian cylinder of area of cross-section A through point P.

The electric flux crossing through the Gaussian surface,

Φ = E × Area of the circular caps of the cylinder

Since electric lines of force are parallel to the curved surface of the cylinder, the flux due to the electric field of the plane sheet of charge passes only through the two circular caps of the cylinder.

Φ = E × 2A … (i)

According to Gauss' Theorem,

ϕ=qε0

Here, the charge enclosed by the Gaussian surface,

q = σA

∴ϕ=σAε0 ....(ii)

From equations (i) and (ii), we get:

E×2A=σAε0

E=σ2ε0

The direction of an electric field for positive charge density is in outward direction and perpendicular to the plane infinite sheet. And for the negative charge density the direction of the field is in inward direction and perpendicular to the sheet.