Concept of equal sacrifices and ability to pay:
The payment of tax causes sacrifices to the payer, this sacrifices as Mill points out the real burden of taxation and has to be equal for every tax payer. However there are three distinct concept of equal sacrifice as explained by Cohen Struart and Edgeworth. They are →
{v(Y)-U(Y-T)R}={U(Y)-V(Y-T)}P
This can be explain with the help of figure.

The income of ‘R’ the richer person, is OR that of ‘P’ the poorer person is OP. Then total utility curve is given by TU and total amount of tax to be raised is given by RT. The utility of income before tax on account ‘R’ & ‘P’ are RA & PC, while that of income after tax are PC & TE respectively. Hence under equal absolute sacrifice formula ‘P’ will pay amount & ‘P’ will pay PT amount of tax. This is because the absolute amount of sacrifice or total loss of utility which comes to AB for R & CD for P are equal. This, the difference between utility of income before tax& the utility of income after tax is equal for all tax payers.
Hence, AB=CD & RP+PT=TREqual proportion sacrifice requires that the total loss of utility due to tax payment as percentage of the utility of income before tax should be equal for every tax payer. The tax payer with lesson income, but the ration of real burden or sacrifice to the utility of pre-tax income will be the same for all. Thus, the ratio

Should be equal for all tax payers.
Under equal proportional sacrifice rule as shown in figure below, the richer person ‘R’ will pay larger tax while the poor person ‘P’ will pay small amount of tax.
The principle of equal proportional sacrifice will then require ‘R’ to pay RR1 & ‘P’ will pay small amount of tax.
The principle of equal proportional sacrifice will then require ‘R’ to pay RR1 & ‘P’ to pay PP1 amount of tax because it is only with such tax distribution that the ratio of AK/AR equals that of CL/CP i.e. the loss of utility due to tax payment as proportion to income utility becomes equal for every tax payers. The total tax collection i.e. RR1+PP1=RT, the amount of tax decided to be raised.
Thus, the community is assumed to consist of two individual ‘R’ and ‘P’ then the principle of equal proportional sacrifice will be expressed as

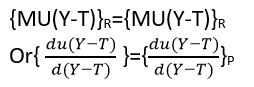
In ordering language, equal marginal sacrifice formula means MU of after tax income of R=MU of after tax income of P. In ordering language, equal marginal sacrifice formula means MU of after tax income of R=MU of after tax income of P.
If for example the utility of marginal unit of money paid in tax by individual ‘R’ were less than paid in tax by individual ‘P’ were requestment of tax by transferring some money burden P to R will help equalizing utility of after tax income of both. This is because reduction in ‘P’ tax leaves him with larger after tax income. Hence smaller marginal utility of many while increase in tax burden ‘R’ will reduce his after tax income and will increase his marginal utility money.
It can be expressed with the help of the figure (i). In figure marginal utility (MU) schedule of ‘R’ and ‘P’, the two individuals in the community whose incomes are OR and OP respectively. If PR is the amount of tax to be raised, the entire tax burden will fall in on R because RP is the excess of R’s income over P’s income. If the tax yield is more than the additional yields will have to be divided equally between R & P so that they are left with equal disposable incomes and hence equal marginal utility of money. In order to raise RT amount of tax revenue, for example – ‘R’ & ‘P’ will have to pay RQ and PQ respectively (PQ being equal to TQ) so that each is left with equal income of OQ and equal marginal utility of QL in the post tax position.
Of all the equal sacrifice concept of ability to pay theory of taxation, it is the equal marginal sacrifice rule which secures the least aggregate sacrifice or minimum sacrifice as Dalton calls it. This is because this rule invariably requires progressive taxation under his minimum sacrifice principle that the collective sacrifice of all tax payers will be the least. Hence the principle of equal marginal sacrifice also known as the least aggregate sacrifice principle of taxation.