Class 12 Chemistry Chapter 12 Aldehydes, Ketones and Carboxylic Acids MCQs | Class 12 Chemistry Chapter 12 Aldehydes, Ketones and Carboxylic Acids Multiple Choice Questions (MCQs) with Answers

Questions
1 The IUPAC name of tartaric acid is:
A 2,3-dihydroxy butane-1-4-dicarboxylic acid
B 1,4-dihydroxy butane-2-3-dioic acid
C butane-1 4-dicarboxylic acid
D none of the above

Answer:2,3-dihydroxy butane-1-4-dicarboxylic acid
2 Cyanohydrin of which compound gives lactic acid on hydrolysis?
A Acetone
B Acetaldehyde
C Propanal
D HCHO

Answer:Acetaldehyde
3 Which of the following is the strongest acid?

A HCOOH (pKa 3.77)
B C6H5COOH (pKa 4.22)
C CH3COOH (pKa 4.71)
D CH3CH2COOH (pKa 4.88)

Answer: HCOOH (pKa 3.77)
4 Which of the following would produce secondary alcohol?
A
B
C
D

Answer:
5 Amongst the following carboxylic acids the strongest acid is:
A benzoic acid
B 0-methoxybenzoic acid
C m-nitrobenzoic acid
D p-nitrobenzoic acid

Answer: p-nitrobenzoic acid
6 Ethanal reacts with HCN and the addition product so obtained is hydrolysed to form a new compound. The compound shows
A optical isomerism
B geometrical isomerism
C tautomerism
D metamerism

Answer:optical isomerism
7 Ethyl acetate on reaction with excess of methyl magnesium chloride and dil. H2SO4 gives
A dimethyl ketone
B iso propyl alcohol
C ethyl aceto acetate
D t-butyl alcohol

Answer:t-butyl alcohol
8 A mixture of benzaldehyde and formaldehyde on heating with aqueous (conc.)NaOH solution gives
A benzyl alcohol and sodium formate
B sodium benzoate and methyl alcohol
C sodium benzoate and sodium formate
D none of these

Answer:benzyl alcohol and sodium formate
9 Phenolphthalein is produced on heating phthalic anhydride and conc. sulphuric acid with
A Salicylic acid
B Phenol
C Phenacetin
D Phenanthrene

Answer:Phenol
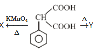
10
In the above reaction, X and Y are:
A Identical
B Homologes
C Structural Isomers
D Stereoisomers

Answer:Homologes
11 Which compound is most reactive towards nucleophilic addition?
A CH3CHO
B PhCOCH3
C PhCOPh
D CH3COCH3

Answer:CH3CHO
12
is fastest when X is
A Cl
B NH2
C OC2H5
D OCOR

Answer:Cl
13 In a set of reaction propionic acid yielded a compound D.

The structure of D would be
A CH3CH2NHCH3
B CH3CH2NH2
C CH3CH2CH2NH2
D CH3CH2CONH2

Answer: CH3CH2NH2
14
A Identical (Homomer)
B Not isomer
C Positional isomer
D Function group isomer

Answer:Not isomer
15
A CH≡CH
B CHI3
C Ph-COONa
D CH2=CH2

Answer:CH≡CH
16 The slowest step of Cannizarro's reaction is
A Attack of nucleophilic
B Hydride shift
C Formation of anion
D Transfer of proton

Answer: Hydride shift
17 CH2=CH-CHO+HCN→A(Major)

the compound 'A' is

A CH2=CH-CH-CH(OH)(CN)
B CH3-CH(CN)-CHO
C CH2(CN)-CH2-CHO
D CH3-C(OH)(CN)-CH3

Answer: CH2(CN)-CH2-CHO
18 Which acid deravative is most reactive towards nucleophilic substitution reaction?
A CH3COCl
B (CH3CO)2O
C CH3COOC2H5
D CH3CONH2

Answer:CH3COCl
19 Why does the reaction produce stable salt?

Because
A In 'A' the ring is aromatic
B 6 p electrons are present
C Ring in a is stabilised by closed loop conjugation
D All of these

Answer: All of these
20 The number of stereoisomeric products formed in the following reaction is
A 1
B 2
C 4
D 8

Answer:2

Chapters