Class 12 Chemistry Chapter 12 Aldehydes, Ketones and Carboxylic Acids MCQs | Class 12 Chemistry Chapter 12 Aldehydes, Ketones and Carboxylic Acids Objective Type Questions and Answers

Questions
1 Which one of the following on oxidation gives a ketone?
A primary alcohol
B secondary alcohol
C tertiary alcohol
D All of these

Answer:secondary alcohol
2 Consider the following transformations
CH3COOHThe molecular formula of C is
A
B ICH2-COCH3
C CHI3
D CH3I

Answer:ICH2-COCH3
3 A and B in the following reactions are
A
B
C
D

Answer:
4 The product formed in aldol condensation is
A a beta-hydroxy acid
B a beta-hydroxy aldehyde or a beta-hydroxy ketone
C an alpha-hydroxy aldehyde or ketone
D an alpha, beta unsaturated ester

Answer:a beta-hydroxy aldehyde or a beta-hydroxy ketone
5 Consider the following reaction,

The product Z is
A toluene
B benzaldehyde
C benzoic acid
D benzene

Answer: benzoic acid
6 Reduction of aldehydes and ketones into hydrocarbons using zinc amalgam and conc. HCl is called
A Clemmenson reduction
B Cope reduction
C Dow reduction
D Wolff-Kishner reduction

Answer:Clemmenson reduction
7 Aldol condensation will not take place in
A HCHO
B CH3CHO
C CH3COCH3
D CH3CH2CHO

Answer:HCHO
8
In the above reaction product, 'P' is
A
B
C
D

Answer:
9 The -OH group of an alcohol or the -COOH group of a carboxylic acid can be replaced by -Cl using
A phosphorus pentachloride
B hypochlorous acid
C chlorine
D hydrochloric acid

Answer: phosphorus pentachloride
10 An ester is boiled with KOH. The product is cooled and acidified with conc. HCl. A white crystalline acid separates. The ester is
A methyl acetate
B ethyl acetate
C ethyl formate
D ethyl benzoate

Answer:ethyl benzoate
11 The compound formed when malonic acid heated with urea, is
A cinnamic acid
B butyric acid
C barbituric acid
D crotonic acid

Answer:barbituric acid
12 What is formed when a primary alcohol undergoes catalytic dehydrogenation?
A Aldehyde
B Ketone
C Alkene
D Acid

Answer: Aldehyde
13 The compound which on reduction with LiAlH4 gives two diffrent alcohols:
A CH3COOCH3
B CH3COOC2H5
C CH3COCH3
D CH3CHO

Answer:CH3COOCH3
14 HCHO and HCOOH are distinguished by treating with:
A Tollens reagent
B NaHCO3
C Fehling's Solution
D Benedict Solution

Answer:NaHCO3
15 Lacrymator or tear gas is:

A C6H5COCl
B C6H5OC6H5
C C6H5COCH2Cl
D C6H5COCH3

Answer:C6H5COCH2Cl
16 Formaldehyde can be distinguished from acetaldehyde by:
A Fehling's solution
B Schiff's reagent
C Ammonia
D Ammoniacal AgNO3

Answer: Ammonia
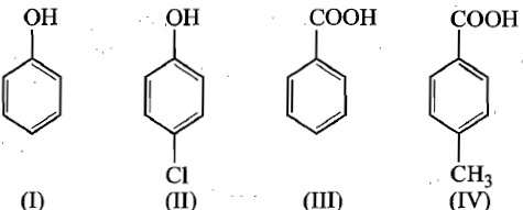
17 The correct acidity order of the following is:
A (III)>(IV)>(II)>(I)
B (IV)>(III)>(I)>(II)
C (III)>(II)>(I)>(IV)
D (II)>(III)>(IV)>(I)

Answer:(III)>(IV)>(II)>(I)
18 Acetone reacts with iodine (I2) to form iodoform in the presence of
A CaCO3
B NaOH
C KOH
D MgCO3

Answer: NaOH
19 Genrally Aldehydes behave as:
A oxidising agent
B reducing agent
C dehydration agent
D oxidizing as well as reducing agent

Answer: reducing agent
20 Compound (A) C5H10O forms a phenyl hydrazone and gives negative Tollen's and iodoform tests. Compound (A) on reduction gives n-pentane. Compound (A) is:
A a primary alcohol
B an aldehyde
C a ketone
D a secondary alcohol

Answer: a ketone

Chapters