
Answer: BF3. Et20
Answer: Na/liq. NH3

Answer: Ph3P = CH2
Answer: NaBH4

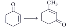
Answer: (i) CH3 – Li, then H+ (ii) PCC / ∆
Answer: m-CPBA followed by base catalysed hydrolysis
Answer: nitrile or an aldehyde
Answer: Wacker oxidation followed by haloform reaction
Answer: 2