Organic Chemistry Questions and Answers – Electrophiles | Organic Chemistry Multiple Choice Questions and Answers

Questions
1 Which of the following statement is incorrect about electrophiles?
A Electrophiles are positively charged or neutral species having vacant orbitals
B The electrophiles are attacked by the most electron-populated part of one nucleophile
C Chemical species that do not satisfy the octet rule such as carbenes and radicals are electrophiles
D Electrophiles are Lewis base

Answer: Electrophiles are Lewis base
2 In addition of halogen (Bromine) to an alkene, how can we isolate a bromonium in the reaction?
A increasing concentration of bromide ion
B decreasing concentration of bromide ion
C alkene with cation stabilising groups
D alkene with less electrophilic centre

Answer: alkene with cation stabilising groups
3 Which of the following is not an electrophile?
A (CH3)4N+
B Cl2
C HBr
D Br2

Answer: (CH3)4N+
4 Which of the following is not an electrophile?
A H2O
B Cl2
C HBr
D Br2

Answer: HBr
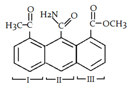
5 In the given molecule where will electrophile will attack?

Oraganic Chemistry MCQ

A I
B II
C III
D IV

Answer: I
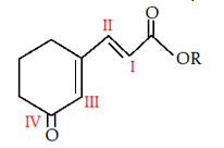
6 Which of the following is most readily undergo electrophilic attack?

Oraganic Chemistry MCQ

A I
B II
C III
D IV

Answer: I
7 What is the correct order for the rate of reaction for the electrophilic attack of the given compounds?

Oraganic Chemistry MCQ

A ammonia is more basic and more nucleophilic than water
B ammonia is less basic and less nucleophilic than water
C ammonia is more basic but less nucleophilic than water
D ammonia is less basic but more nucleophilic than water

Answer: ammonia is more basic and more nucleophilic than water
8 Which of the following statements is true about the following two anionic molecules?

Organic Chemistry

A I > II > III
B II > I > III
C I < II < III
D III > I > II

Answer: II > I > III
9 Which of the following is the product for the given reaction?

Organic Chemistry

A 3-Bromophenol
B 4- Bromophenol
C 3,5-Dibromophenol
D 2,4,6-Tribromophenol

Answer: 2,4,6-Tribromophenol
10 Which ring will readily undergo electrophilic attack?

Organic Chemistry

A I
B II
C III
D Both I and III

Answer: II