Organic Chemistry Questions and Answers – Alcohols as Acids | Organic Chemistry Multiple Choice Questions and Answers

Questions
1 CH3OH is a which type of acid?
A Bronsted acid
B Lewis acid
C Arrhenius acid
D Lewis and Arrhenius acid

Answer: Bronsted acid
2 Which of the following is more acidic than alcohols?
A Arrhenius acid
B amine
C alkyne
D carboxylic acid

Answer: carboxylic acid
3 What is the correct order of acidic strength?

Organic Chemistry

A I > II > III
B II > I > III
C III > II > I
D I > III > II

Answer: II > I > III
4 Which of the following is more acidic alcohol?
A Phenolc
B Cyclohexanol
C Methanol
D Ethanol

Answer: Phenolc
5 What is the correct order of acidic strength?

Girl in a jacket

A I > II > III
B III > II > I
C II > III > I
D I > III > II

Answer: II > III > I
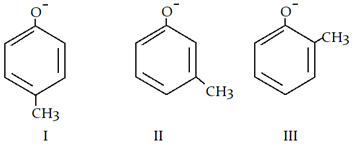
6 What is the correct order of acidic strength?

Organic Chemistry

A I > II > III
B III > II > I
C II > III > I
D I > III > II

Answer:III > II > I
7 What is the correct order of acidic strength?
A CH3-OH
B CH3CH2-OH
C CH3 CH2 CH2-OH
D CH3 CH2 CH2 CH2-OH

Answer: CH3-OH
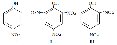
8 What is the correct order of acidic strength?

Organic Chemistry

A I > II > III
B III > II > I
C II > III > I
D I > III > II

Answer: I > III > II
9 What is the correct order of acidic strength?

Organic Chemistry

A I > II > III
B III > II > I
C II > III > I
D I > III > II

Answer: I > II > III
10 What is the correct order of acidic strength?

Organic Chemistry

A I > II > III
B III > II > I
C II > I > III
D I > III > II

Answer: II > I > III