1
What type of reaction takes place upon treatment of a ketone with HCN to form a cyanohydrin?
Answer:Nucleophilic addition
Answer:Nucleophilic addition

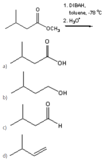
Answer: (c)

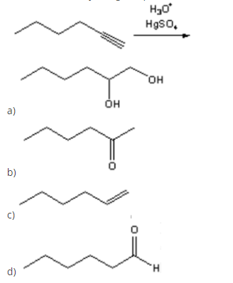
Answer: (a)

Answer: (b)

Answer: (b)

Answer:3,5-dimethyl-3-heptanol

Answer: 4-penten-2-ol


Answer: (d)


Answer: (a)

Answer: 2-methylpropene