Organic Chemistry Questions and Answers – Condensation Reactions | Organic Chemistry Multiple Choice Questions and Answers

Questions
1 Condensation reaction is the reverse of which of the following reaction?
A lock and key hypothesis
B oxidation
C hydrolysis
D glycogen formation

Answer:hydrolysis
2 Condensation reaction always results in the formation of complex sugar (disaccharide or polysaccharide) and which of the following?
A amino acids
B lipids
C water
D maltose

Answer: water
3 In which condensation an enol or an enolate ion reacts with a carbonyl compound to form a β-hydroxyaldehyde or β-hydroxyketone (an aldol reaction), followed by dehydration to give a conjugated enone happens?
A Aldol condensation
B Claisen reduction
C Henry condensation
D Knoevenagel condensation

Answer: Aldol condensation
4 Which combination of carbonyl compounds gives phenyl vinyl ketone by an aldol condensation?

Organic Chemistry

A Acetophenone and ketone
B Acetophenone and aldehyde
C Benzaldehyde and aldehyde
D Benzaldehyde and ketone

Answer: Acetophenone and ketone
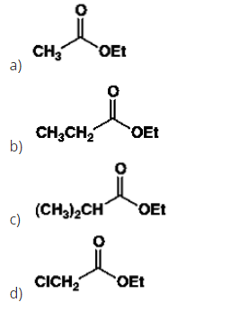
5 Which ester will not give a good yield of the Claisen condensation product with NaOEt in EtOH?

Organic Chemistry

A (a)
B (b)
C (c)
D (d)

Answer: (c)
6 What will be the product for the following reaction?

Organic Chemistry

A trans-2,4-pentadienoic acid
B cis -2,4-pentadienoic acid
C 3-aminobenzoic acid
D 2-aminobenzoic acid

Answer:trans-2,4-pentadienoic acid
7 What will be the product of the following reaction?

Organic Chemistry

A –Nitro alcohol
B -nitro alcohol
C Nitroalkene
D -amino alcohol

Answer: –Nitro alcohol
8 What will be the product ‘B’ in the reaction?

Organic Chemistry

A α-nitro alcohol
B α-nitro ketone
C nitroalkene
D β-amino alcohol

Answer: α-nitro ketone
9 What will be the product ‘B’ in the reaction?

Organic Chemistry

A α-nitro alcohol
B α-nitro ketone
C nitroalkene
D β-amino alcohol

Answer: nitroalkene
10 What will be the product ‘B’ in the reaction?

Organic Chemistry

A α-nitro alcohol
B α-nitro ketone
C nitroalkene
D β-amino alcohol

Answer: β-amino alcohol