Organic Chemistry Questions and Answers – Benzene Diazonium Chloride – 2 | Organic Chemistry Multiple Choice Questions and Answers

Questions
1 Replacement of diazo group by other groups is helpful in preparing those substituted aromatic compounds which cannot be prepared which type of reaction?
A Direct elimination
B Addition reaction
C Direct substitution
D Replacement reaction

Answer:Direct substitution
2 What happens when benzene diazonium chloride is treated with potassium cyanide in presence of Cu powder?
A Benzophenone
B Methyl isocyanide
C Acetonitrile
D Benzonitrile

Answer: Benzonitrile
3 By treating diazonium salts with cuprous cyanide or KCN and copper powder it forms which of the following compound?
A Citric acid
B Benzoic acid
C Aryl nitrile
D Oxalic acid

Answer:Aryl nitrile
4 Benzene diazonium chloride forms orange red dye with which of the following compound?
A Nitrophenol
B Benzophenol
C Resorcinol
D Methanol

Answer:Resorcinol
5 Which of the following is compound A for following sequence of reaction gave benzoic acid benzoic acid?

Organic Chemistry

A Nitrobenzene
B Aniline
C Benzaldehyde
D Amides

Answer:Aniline
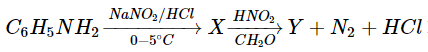
6 In the series of reaction, what are X and Y are respectively?

Organic Chemistry

A C6H5−N=N−C6H5, C6H5N+2Cl
B C6H5N+2Cl, C6H5−N=N−C6H5
C C6H5N+2Cl, C6H5NO2
D C6H5NO2, C6H6

Answer:C6H5N+2Cl, C6H5NO2
7 Aniline in a set of reactions yielded a product D. The structure of product D would be

Organic Chemistry

A C6H5CH2NH2
B C6H5NHCH2CH3
C C6H5NHOH
D C6H5CH2OH

Answer:C6H5CH2OH
8 Azo dye is prepared by the coupling of phenol and which of the following compound?
A Diazonium chloride
B o-nitro aniline
C Benzoic acid
D Chlorobenzene

Answer:Diazonium chloride
9 Identify the product in following order when 3,4,5-Tribromoaniline undergoes diazotisation followed by attack of H3PO2?
A 3, 4,5-Tribromobenzene
B 1, 2, 3-Tribromobenzene
C 2, 4, 6-Tribromobenzene
D 3, 4, 5-Tribromo nitro benzene

Answer:3, 4,5-Tribromobenzene
10 When diazonium salt solution is treated with KI, it forms which of the following compound?
A Bromobenzene
B Iodobenzene
C Phenol
D Acid

Answer:Iodobenzene