Organic Chemistry Questions and Answers – Stereoisomers | Organic Chemistry Multiple Choice Questions and Answers

Questions
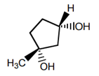
1 What is the complete IUPAC name of the following substance?

Organic Chemistry

A (1S,3S)-1-methylcyclopentane-1,3-diol
B (1R,3R)-1-methylcyclopentane-1,3-diol
C (1S,3R)-1-methylcyclopentane-1,3-diol
D (1R,3S)-1-methylcyclopentane-1,3-diol

Answer:(1R,3S)-1-methylcyclopentane-1,3-diol
2 How many stereoisomers are there for the following structure?

Organic Chemistry

A 1
B 2
C 3
D 4

Answer:3
3 How many stereoisomers of 3-bromo-2-butanol, CH3CH(OH)CHBrCH3, exist?
A 3
B 1
C 2
D 4

Answer:4
4 How many stereoisomers of 2,3-butanediol, CH3CH(OH)CH(OH)CH3, exist?
A 3
B 4
C 1
D 2

Answer:3
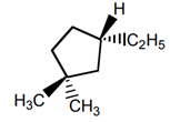
5 What is the complete IUPAC name of the following stereoisomer?

Organic Chemistry

A (1S)-2-ethyl-3,3-dimethylcyclopentane
B (1R)-2-ethyl-3,3-dimethylcyclopentane
C (1S)-1-ethyl-,3,3-diimethylcyclopentane
D (1S)-3-ethyl-1,1-diimethylcyclopentane

Answer:(1S)-1-ethyl-,3,3-diimethylcyclopentane
6 Which of the following structures represent the same stereoisomer?

Organic Chemistry

A Only 1 and 2
B Only 2 and 3
C 1, 2 and 3
D Only 3 and 1

Answer:Only 2 and 3
7 Which of the following compounds can exhibit geometrical isomerism?
A 1-Hexene
B 2-Methyl-2-Pentene
C 3-methyl-1-pentene
D 2-Hexene

Answer:2-Hexene
8 How many number of stereoisomers possible for 2, 3-pentanediol?
A 3
B 4
C 5
D 6

Answer:4
9 How many chiral stereoisomers can be drawn for CH3CHFCHFCH(CH3)2?
A 4
B 5
C 6
D 7

Answer:4
10 What is the total number of isomers, stereoisomers included, designated by the dichlorocyclopentane?
A 7
B 6
C 4
D 5

Answer:7