
The correct choice is:
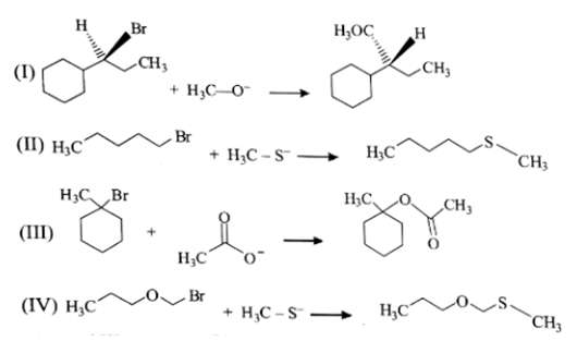
Answer: III > II > IV > I

Answer: I and II

[R = t-Bu, iso-Pr, Et, Me] (X = Cl, Br, I)
The correct statements are:
I. The decreasing order of rate of SN1reaction is t-BuX > iso-PrX > EtX > MeX
II. The decreasing order of ionization energy is MeX > EtX > iso-PrX > t-BuX
III. The decreasing order of energy of activation is t-BuX > iso-PrX > EtX > MeX
Answer: I & II are correct

Answer: The Final solution has radioactive iodine only

Answer: III > IV > II > I

Answer: Formation of (III) involves E1 reaction

Answer: (b)