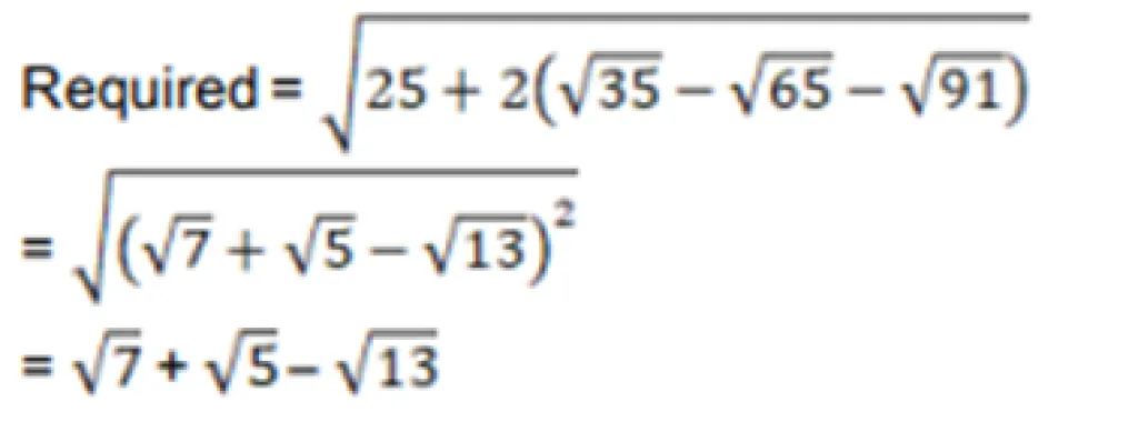
The expression √25+2(√35-√65-√91) HomeQuantitative aptitudeThe expression √25+2(√35-√65-√91)quantitative aptitudeThe expression is equal to(a) – – (b) – + (c) – – (d) ( + – )Sol:As we know(a + b + c)² = a² + b² + c² + 2(ab + bc + ca)
In a class, 15% of total number of students failed in Science, 25% of total number of students failed in Maths and 10% of total number of students failed in both. How much percentage of students passed in both Maths and Science?