NCERT Solutions for class 11 Physics | Chapter 5 - Laws of motion

Questions
1 Which of the following should be constant for a body to have a constant momentum?
A Acceleration
B Force
C Velocity
D All of the above

Answer:All of the above
2 Consider a man standing on the spring balance such that the reading on the spring balance is 60kg. If the man jumps out of the spring balance what will be the final reading of the spring balance?
A Remains unchanged
B Increases
C Decreases
D First increases then decrease to zero

Answer:First increases then decrease to zero
3 What is the force acting on the particle if the motion of the particle is given as

Law of motion

A F = ma
B F = 0
C F = mg
D F ≠ 0

Answer:F = mg
4 Let two bodies be with masses 2kg and 5kg respectively. Let these bodies be at rest with the same force acting on them. Calculate the ratio of times that is required by both the bodies to reach the final velocity.
A 2:5
B 25:4
C 5:3
D 4:25

Answer:2:5
5 Consider a car that overturns while taking a turn. Select the option that is experienced by the wheels of the car.
A First, both inner, as well as the outer wheel, leave the ground
B First, the inner wheel leaves the ground
C The inner wheel experiences no change
D None of the above

Answer:First, the inner wheel leaves the ground
6 Choose the correct statement
A A body can be accelerated by frictional force
B There can be zero friction
C Kinetic friction is greater than rolling friction
D Frictional force and area of contact between the two surfaces are proportional

Answer:Kinetic friction is greater than rolling friction
7 A particle of mass m is given an impulse such that the velocity of the particle changes from v1 to v2. The impulse is equal to
A m(v2 + v1)
B m (v2 – v1)
C m (|v2|-|v1|)
D 1/2(v 2/2−v 2/1)

Answer:m (v2 – v1)
8 What is the condition required to move the block without slipping
A μB/μm > M/m
B μB/μm > m/M
C μB/μm < M/m
D μB/μm < m/M

Answer:μB/μm > M/m
9 What maximum force boy can apply without slipping
A μmmg
B μmMg
C μBmg
D none of the above

Answer:μBmg
10 Which of the following expression is correct if at t = 0, object is at origin and velocity is v0 = i + j
A r = i(2.5 t2 + t) + j(t - 1.5t2)
B i(2.5 t2 - t) + j(t + 1.5t2)
C r = it - jt2
D none of the above

Answer:r = i(2.5 t2 + t) + j(t - 1.5t2)
11 find the acceleration of object
A 5i + 3j
B 5i - 3j
C 3i + 5j
D 3i - 5j

Answer:5i - 3j
12 Find the velocity as a function of distance
A v0 + kx/m
B v0 - kx/m
C v0 - x/m
D none of the above

Answer:v0 - kx/m
13 Find the value of x at which it velocity become 0
A mv0/k
B mv0/k2
C m/kv0
D none of the above

Answer:mv0/k
14 Find the velocity of body as a function of time
A v0 exp (-kt/m)
B v0 exp (-mt/k)
C v0 exp (-t)
D none of the above

Answer:v0 exp (-kt/m)
15 A block of mass M is kept on a friction floor of static friction μ. The body is acted by a horizontal force F horizontally but the body does not move. Now an another f act on the body vertically downwards, what will happen
A frictional force on the block is change
B normal reaction on the block change
C limiting frictional force changes
D body starts moving

Answer:B, C
16 Consider the figure given below

Laws of Motion

if Coefficient of friction is μ then what is the least value of μ so the system remains at rest

A 0.23
B 0.2
C 0.203
D 0.13

Answer:0.203
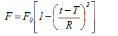
17 A particle of mass M, originally at rest is subjected to a force whose direction is constant but whose magnitude varies with the time according to the relation

Laws of motion

where F0 and T are constant. The force acts only for the time interval 2T. Find the velocity v of the particle after time 2T
A F0/3M0
B 4F0/3M0
C F0/2M0
D none of the above

Answer:4F0/3M0
18 Choose the correct alternative
A The acceleration of a moving particle is always in the direction of its velocity
B Velocity and acceleration vectors of a moving particle may have any angle between 0 and 360 between them
C Velocity and acceleration vectors of a moving particle may have any angle between 0 and 180 between them
D If the acceleration vector is always perpendicular to the velocity vector of a moving particle, the velocity vector does not change

Answer:Velocity and acceleration vectors of a moving particle may have any angle between 0 and 180 between them
19 There are two statements

Statement A : Newton’s first law in valid from the pilot in an aircraft which is taking off

Statement B : Newton’s first law in valid from the observer in a train moving with constant velocity Which of the following is correct

A A only
B B only
C Both A and B are correct
D Both A and B are wrong

Answer:B only
20 Which of the following observer is/are non inertial
A A child revolving in the merry go round
B A driver in a train moving with constant velocity v
C A passenger in a bus which is slowing down to a stop
D None of these

Answer:A, C

Chapters