Questions
Download PDF
Free download in PDF Class 12 Maths Chapter 11 Three Dimensional Geometry Multiple Choice Questions and Answers for Board, JEE, NEET, AIIMS, JIPMER, IIT-JEE, AIEE and other competitive exams. MCQ Questions for Class 12 Maths with Answers were prepared based on the latest exam pattern. These short solved questions or quizzes are provided by Gkseries. These will help the students for preparation of their examination./p>
1
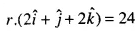
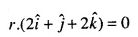
The equation of the plane passing through three non- collinear points with position vectors a, b, c is
A
r.(b × c + c × a + a × b) = 0
B
r.(b × c + c × a + a × b) = [abc]
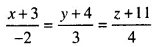
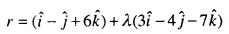
C
r.(a × (b + c)) = [abc]
D
r.(a + b + c) = 0
Answer & Explanation
Answer:r.(b × c + c × a + a × b) = [abc]
2
Find the length of perpendicular from the origin to the plane
A
5/13
B
5/√13
C
5/23
D
5/√13
Answer & Explanation
3
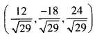
Find the vector equation of the plane which is at a distance of 8 units from the origin and which is normal to the vector
Answer & Explanation
Answer:
4
The coordinate of the foot of perpendicular drawn from origin to the plane 2x – 3y + 4z – 6 = 0 is
Answer & Explanation
Answer:
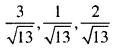
5
The direction cosines of the unit vector perpendicular to the plane
passing through the origin are
A
6/7,3/7,2/7
B
6, 3, 2
C
−6/7,3/7,2/7
D
-6, 3, 2
Answer & Explanation
8
The vector equation of the line through the points A(3, 4, -7) and B(1, -1, 6) is
Answer & Explanation
Answer:
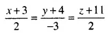
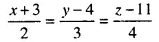
9
The equation of the line joining the points (-3, 4, 11) and (1, -2, 7) is
Answer & Explanation
Answer:
10
The point A(1, 2, 3), B(-1, -2, -1) and C(2, 3, 2) are three vertices of a parallelogram ABCD. Find the equation of CD.
Answer & Explanation
Answer:
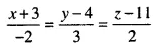
11
Find the coordinatets of the point where the line through the points (5, 1, 6) and (3, 4, 1) crosses the yz-plane.
A
(0,−17/2,13/2)
B
(0,17/2,−13/2)
C
(10,19/2,13/2)
D
(0, 17, 13)
Answer & Explanation
12
The coordinates of a point on the line
at a distance of 6√12 from the point (1, 2, 3) is
A
(56, 43, 111)
B
(56/17,43/17,111/17)
C
(2, 1, 3)
D
(-2, -1, -3)
Answer & Explanation
Answer:(56/17,43/17,111/17)
13
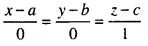
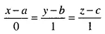
The equation of the straight line passing through the point (a, b, c) and parallel to Z-axis is
Answer & Explanation
Answer:
14
The certesian equation of the line l when it passes through the point (x1, y1, z1) and parallel to the vector
A
x – x1 = y – y1 = z – z1
B
x + x1 = y + y1 = z + z1
C
D
Answer & Explanation
Answer:
15
If l, m and n are the direction cosines of line l, then the equation of the line (l) passing through (x1, y1, z1) is
Answer & Explanation
Answer:
16
The equation of line passing through the point (-3, 2, -4) and equally inclined to the axes are
A
x – 3 = y + 2 = z – 4
B
x + 3 = y – 2 = z + 4
C
D
None of these
Answer & Explanation
Answer:x + 3 = y – 2 = z + 4
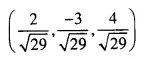
17
Find the direction cosines of the line joining A(0, 7, 10) and B(-1, 6, 6).
Answer & Explanation
Answer:
18
The coordinates of a point P are (3, 12, 4) w.r.t. origin O, then the direction cosines of OP are
A
2, 12 , 14
B
1/4, 1/3, 1/2
C
D
3/13, 12/13, 4/13
Answer & Explanation
19
If a line makes an angle θ1 , θ2 , θ3 with the axis respectively, then cos 2θ1 + cos 2θ2 + cos 2θ3 =
Answer & Explanation
20
A line makes angles α, β and γ with the co-ordinate axes. If α + β = 90°, then γ is equal to
A
0°
B
90°
C
180°
D
None of these
Answer & Explanation
Chapters