NCERT Solutions for class 12 Maths | Chapter 4 - Determinants

Questions
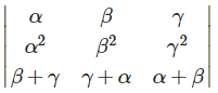
1 The value of the determinant Class 12 Maths Determinants
A (α + β)(β + γ)(γ + α)
B (α – β)(β – γ) (γ – α) (α + β + γ)
C (α + β + γ)² (α – β – γ)²
D αβγ (α + β + γ)

Answer:(α – β)(β – γ) (γ – α) (α + β + γ)
2 Class 12 Maths Determinants is equal to
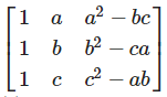
A 6xyz
B xyz
C 4xyz
D xy + yz + zx

Answer:4xyz
3 The maximum value of Class 12 Maths Determinants is (θ is real number)
A 1/2
B √3/2
C 2√3/4
D √2

Answer:1/2
4 If x, y, z are all different from zero and

Class 12 Maths Determinants= 0, then value of x-1 + y-1 + z-1 is

A xyz
B x-1y-1z-1
C -x – y – z
D -1

Answer:-1
5 If A, B and C are angles of a triangle, then the determinant

Class 12 Maths Determinants

A 0
B -1
C 1
D None of these

Answer:0
6 Evaluate the determinant Δ = Class 12 Maths Determinants
A 15/2
B 12
C 14/3
D 6

Answer:15/2
7 A = Class 12 Maths Determinants|A³| = 125 then α =
A ±3
B ±2
C ±5
D 0

Answer:±3
8 If w is a non-real root of the equation x² – 1 = 0. then

Class 12 Maths Determinants

A 0
B 1
C ω
D ω²

Answer:0
9 Class 12 Maths Determinants is equal to
A abc
B ab + bc + ca
C 0
D (a – b)(b – c)(c – a)

Answer:0
10 The value of determinant Class 12 Maths Determinants
A a³ + b³ + c ³
B 3bc
C a³ + b³ + c³ – 3abc
D None of these

Answer:a³ + b³ + c³ – 3abc
11 If A = Class 12 Maths Determinants then A-1 exists if
A λ = 2
B λ ≠ 2
C λ ≠ -2
D None of these

Answer:None of these
12 Class 12 Maths Determinants
A 0
B 1
C 2
D 3

Answer:1
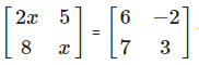
13 If Class 12 Maths Determinants then the value of x is
A 3
B ±3
C ±6
D 6

Answer:±6
14 If a ≠ 0 and Class 12 Maths Determinants = 0 then a =
A a = -3
B a = 0
C a = 1
D a = 3

Answer:a = -3
15 The number of distinct real roots of Class 12 Maths Determinants = 0 in the interval –π/4 ≤ x ≤ π/4 is
A 0
B 2
C 1
D 3

Answer:1
16 The value of the determinant Class 12 Maths Determinants is
A 9x² (x + y)
B 9y² (x + y)
C 3y² (x + y)
D 7x² (x + y)

Answer:9y² (x + y)
17 If abc ≠ 0 and Class 12 Maths Determinants = 0 then 1/a + 1/b + 1/c =
A 1
B 2
C -1
D -3

Answer:-1
18 Let Δ = Class 12 Maths Determinants then the value of Δ is
A (x – y) (y- z)(z – x)
B xyz
C x² + y² + z²)²
D xyz (x – y)(y – z) (z – x)

Answer:xyz (x – y)(y – z) (z – x)
19 If 7 and 2 are two roots of the equation Class 12 Maths Determinants then the third root is
A -9
B 14
C 12
D None of these

Answer:-9
20 Let f(t) = Class 12 Maths Determinants is equal to
A 0
B -1
C 2
D 3

Answer:0

Chapters