NCERT Solutions for class 12 Maths | Chapter 7 - Integrals

Questions
1 dx is equal to
A 1
B 2
C 3
D 4

Answer:1
2 Evaluate: dx
A 1/6 tan-1 (2 tan x) + C
B tan-1 (2 tan x) + C
C 1/6 tan-1(2tanx/3) + C
D None of these

Answer:1/6 tan-1(2tanx/3) + C
3 Evaluate: ∫ sec²(7 – 4x)dx
A –1/4 tan(7 – 4x) + C
B 1/4 tan(7 – 4x) + C
C 1/4 tan(7 + 4x) + C
D –1/4 tan(7x – 4) + C

Answer:–1/4 tan(7 – 4x) + C
4
A
B
C
D None of these

Answer:
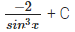
5 Evaluate: dx
A
B
C
D None of these

Answer:
6 ∫ cos(loge.x)dx is equal to
A 1/2 x[cos (logex) + sin(logex)]
B x[cos (logex) + sin(logex)]
C 1/2 x[cos (logex) – sin(logex)]
D x[cos (logex) – sin(logex)]

Answer:x[cos (logex) + sin(logex)]
7 ∫ sin-1 xdx is equal to
A cos-1 x + C
B x sin-1x ++ C
C
D

Answer:x sin-1x ++ C
8 If
A a = 1/3, b = 1
B a = −1/3, b = 1
C a = −1/3, b = -1
D a = 1/3, b = -1

Answer:a = 1/3, b = -1
9 dx is equal to
A 2√2
B –1/3 cos x + c
C 0
D 2(√2 – 1)

Answer:0
10 dx is equal to
A 10x – x10 + C
B 10x + x10 + C
C (10x – x10)-1 + C
D loge(10x + x10) + C

Answer:loge(10x + x10) + C
11
A √x + k
B 2√x + k
C x + k
D Class 12 Maths chapter 7 Integrals

Answer:2√x + k
12 Class 12 Maths chapter 7 Integrals
A
B log | sin x + cos x | + c
C log | sin x – cos x | + c
D

Answer:log | sin x + cos x | + c
13 d/dx ∫f(x)dx is equal to
A f'(x)
B f(x)
C f'(x’)
D f(x) + c

Answer:f(x)
14 What is the value of
A π/2
B π/4
C π/8
D None of these

Answer:π/4
15 is equal to
A 1/10010
B 1/10100
C 1/1010
D 1/110100

Answer:1/10100
16 ∫log10 xdx =
A loge 10.x loge (x/e) + c
B log10 e.x loge (x/e) + c
C (x – 1) loge x + c
D 1/x + c

Answer:log10 e.x loge (x/e) + c
17 Class 12 Maths chapter 7 Integrals
A tan-1 (2x) + c
B cot-1 (2x) + c
C cos-1 (2x) + c
D sin-1 (2x) + c

Answer:sin-1 (2x) + c
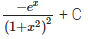
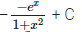
18
A
B
C
D

Answer:
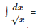
19 Class 12 Maths chapter 7 Integrals dx is equal to
A
B
C
D

Answer:
20
A log |1 + cotx/2| + C
B log |1 – tanx/2| + C
C log |1 – cotx/2| + C
D log |1 + tanx/2| + C

Answer:log |1 – cotx/2| + C

Chapters