NCERT Solutions for class 12 Maths | Chapter 8 - Application of Integrals

Questions
1 Area of the region bounded by the curve y = cos x between x = 0 and x = π is
A 2 sq. units
B 4 sq, units
C 3 sq.units
D 1 sq. units

Answer:2 sq. units
2 The area of the region bounded by the circle x² + y² = 1 is
A 2π sq. units
B 7π sq. units
C 3π sq. units
D 4π sq. units

Answer:7π sq. units
3 The area bounded by the lines y = |x| – 1 and y = -|x| + 1 is
A 1 sq. unit
B 2 sq. unit
C 2√2 sq. units
D 4 sq. units

Answer:2 sq. unit
4 The area bounded by the lines |x| + |y| = 1 is
A 1 sq. unit
B 2 sq. units
C 2√2 sq. units
D 4 sq. units

Answer:2 sq. units
5 Area bounded between the parabola y² = 4ax and its latus rectum is
A 1/3 a sq. units
B 1/3 a² sq. units
C 8/3 a sq. units
D 8/3 a² sq. units

Answer:8/3 a² sq. units
6 Area of the region in the first quadrant enclosed by the x-axis, the line y = x and the circle x² + y² = 32 is
A 16π sq.units
B 4π sq. units
C 32π sq. units
D 24π sq. units

Answer:4π sq. units
7 The area of the region bounded by the curve y = sin x between the ordinates x = 0, x = π/2 and the x-axis is
A 2 sq. units
B 4 sq. units
C 3 sq. units
D 1 sq, unit

Answer:1 sq, unit
8 The area of the region bounded by the curve x = 2y + 3 and the lines y = 1 and y = -1 is
A 4 sq. units
B 3/2 sq. units
C 6 sq. units
D 8 sq, units

Answer:6 sq. units
9 TArea bounded by the lines y = |x| – 2 and y = 1 – |x – 1| is equal to
A 4 sq. units
B 6 sq. units
C 2 sq. units
D 8 sq. units

Answer:4 sq. units
10 The area of the region bounded by the line y = | x – 2 |, x = 1, x = 3 and x-axis is
A 4 sq. units
B 2 sq, units
C 3 sq. units
D 1 sq. unit

Answer:1 sq. unit
11 The area bounded by the curve 2x² + y² = 2 is
A π sq. units
B √2π sq. units
C π/2 sq. units
D 2π sq. units

Answer:√2π sq. units
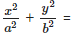
12 Area of the ellipse Class 12 Maths Chapter 8 Application of Integrals 1 is
A 4π ab sq. units
B 2π ab sq. units
C π ab sq. units.
D πab/2 sq. units

Answer:π ab sq. units.
13 The area of the region bounded by the curve x² = 4y and the straight line x = 4y – 2 is
A 3/8 sq.units
B 5/8 sq.units
C 7/8 sq.units
D 9/8 sq. units

Answer:9/8 sq. units
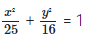
14 The area of the region bounded by the ellipse Class 12 Maths Chapter 8 Application of Integrals is
A 20π sq. units
B 20π² sq. units
C 16π² sq. units
D 25π sq. units

Answer:20π sq. units
15 The area of the region bounded by the and the lines x = 2 and x = 3
A 7/2 sq. unit
B 9/2 sq. unit
C 11/2 sq. units
D 13/2 sq. units

Answer:7/2 sq. unit
16 The area of the region bounded by parabola y² = x and the straight line 2y = x is
A 4/3 sq. unit
B 1 sq. unit
C 2/3 sq. units
D 1/3 sq. units

Answer:4/3 sq. unit
17 The area of the region bounded by the curve y =Class 12 Maths Chapter 8 Application of Integrals and x-axis is
A 8π sq.units
B 20π sq. units
C 16π sq. units
D 256π sq. units

Answer:8π sq.units
18 The area of the region bounded by the y-axis, y = cos x and y = sin x, 0 ≤ x ≤ π/2 is
A √2 sq.units
B (√2 + 1) sq. units
C (√2 – 1) sq. units
D (2√2 – 1) sq.units

Answer:(√2 – 1) sq. units
19 If y = 2 sin x + sin 2x for 0 ≤ x ≤ 2π, then the area enclosed by the curve and x-axis is
A 9/2 sq. units
B 8 sq. units
C 12 sq. units
D 4 sq. unjts

Answer:12 sq. units
20 Tne area bounded by the curve y = x² – 1 and the straight line x + y = 3 is
A 9/2 sq. units
B 4 sq. units
C 7√17/6 sq. units
D 17√17/6 sq. units

Answer:17√17/6 sq. units

Chapters