NCERT Solutions for class 12 Maths | Chapter 9 - Differential Equations

Questions
1 class 12 maths chapter 9 differential equations
A
B
C
D

Answer:
2 The solution of the differential equation cos x sin y dx + sin x cos y dy = 0 is
A sinx/siny=c
B sin x sin y = c
C sin x + sin y = c
D cos x cos y = c

Answer:sin x sin y = c
3 The solution of the differential equation class 12 maths chapter 9 differential equations is
A y = tan-1 x
B y – x = k(1 + xy)
C x = tan-1 y
D tan(xy) = k

Answer:y – x = k(1 + xy)
4 The differential equation satisfied by y = A/x + B is (A, B are parameters)
A x2 y1 = y
B xy1 + 2y2 = 0
C xy2 + 2y1 = 0
D none of these

Answer:xy2 + 2y1 = 0
5 The differential equation whose solution is (x – h)2 + (y – k)2 = a2 is (a is a constant)
A
B
C
D None of these

Answer:
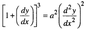
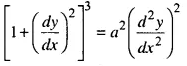
6 The degree of the differential equation
A 2
B 1
C 3
D none of these

Answer:2
7 The degree of the equation satisfying the relation

class 12 maths chapter 9 differential equations

A 1
B 2
C 3
D None of these

Answer:1
8 The differential equation of all parabolas whose axis of symmetry is along the axis of the x-axis is of order
A 3
B 1
C 2
D none of these

Answer:2
9 Given the differential equation class 12 maths chapter 9 differential equations

Mark out the correct statement.

A solution is y2 – sin y = -2x3 + C
B solution is y2 + sin y = 2x3 + C
C C = π2+ 2√2
D C = π2 + 2

Answer:solution is y2 + sin y = 2x3 + C
10 The equation of family of curves for which the length of the normal is equal to the radius vector is
A y2∓x2=k2
B y±x=k
C y2 = kx
D none of these

Answer:y2∓x2=k2
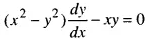
11 The differential equation of all parabolas whose axes are along x-axis is
A
B
C
D

Answer:
12 The differential equation representing the family of ellipses with centre at origin and foci on x-axis is given as
A xy’ + y = 0
B x2y2(y”)2 + yy’= 0
C xyy” + x(y’)2 – yy’ = 0
D None of these

Answer:x2y2(y”)2 + yy’= 0
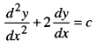
13 The differential equation of the family of circles touching the x-axis at origin is given by
A
B
C
D None of these

Answer:
14 The differential equation of all circles which pass through the origin and whose centre lies on y-axis is
A
B
C
D

Answer:
15 class 12 maths chapter 9 differential equations
A
B
C
D

Answer:
16 class 12 maths chapter 9 differential equations
A π/3
B π/4
C π/6
D π/12

Answer:π/12
17 class 12 maths chapter 9 differential equations
A
B
C
D

Answer:
18 The differential equation of all parabolas whose axes are parallel to y-axis is
A
B
C
D

Answer:
19 The solution of differential equation (ey + 1) cosx dx + ey sinx dy = 0 is
A (ey + 1) sinx = c
B ex sinx = c
C (ex + 1) cosx = c
D none of these

Answer:(ey + 1) sinx = c
20 If sinx dy/dx + y cosx = x sinx, then (y – 1) sinx =
A c – x sinx
B c + xcosx
C c – x cos x
D c + x sin x

Answer:c – x cos x

Chapters