NCERT Solutions for class 12 Maths | Chapter 9 - Differential Equations

Questions
1 The solution of class 12 maths chapter 9 differential equations is
A
B xex + cx
C y = xex + k
D class 12 maths chapter 9 differential equations

Answer:
2 The differential equation of the family of cuves x² + y² – 2ay = 0, where a is arbitrary constant is
A (x² – y²)dy/dx = 2xy
B 2 (x² + y²)dy/dx = xy
C 2(x² – y²)dy/dx = xy
D (x² + y²) dy/dx = 2xy

Answer:(x² – y²)dy/dx = 2xy
3 The solution of dy/dx + y = e-x, y (0) = 0 is
A y = e-x (x – 1)
B y = xex
C y = xe-x + 1
D y = xe-x

Answer:y = xe-x
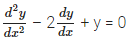
4 The order and degree of the differential equation

class 12 maths chapter 9 differential equations

A 1, 3/2
B 2, 3
C 2, 1
D 3, 4

Answer:2, 1
5 Which of the following is the general solution of
A y = (Ax + B)ex
B y = (Ax + B)e-x
C y = Aex + Be-x
D y = A cos x + B sin x

Answer:y = (Ax + B)ex
6 The integrating factor of the differential equation is
A xe/x
B ex/x
C xex
D ex

Answer:ex/x
7 Solution of dy/dx – y = 1 y(0) = 1 is given by
A xy = -ex
B xy = -e-x
C xy = -1
D y = 2ex – 1

Answer:y = 2ex – 1
8 Solution of the differential equation tan y sec² x dx + tan x sec² y dy + 0 is .
A tan x + tan y = k
B tan x – tan y = k
C tanx/tany = k
D tan x.tan y = k

Answer:tan x.tan y = k
9 The order and degree of the differential equation

class 12 maths chapter 9 differential equations

A 1, 4
B 3, 4
C 2, 4
D 3, 2

Answer:3, 2
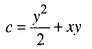
10 The general solution of dy/dx = 2x ex2-y is
A ex2-y = c
B e-y + ex2  = c
C ey = ex2  + c
D ex2+y = c

Answer:ey = ex2  + c
11 y = aemx + be-mx satisfies which of the following differential equation?
A dy/dx + my = 0
B dy/dx – my = 0
C d2y/dx2 – m²y = 0
D d2y/dx2 +m²y = 0

Answer:d2y/dx2 – m²y = 0
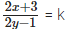
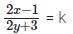
12 The solution of the equation (2y – 1) dx-(2x + 3)dy = 0 is
A
B
C
D

Answer:
13 Integrating factor of xdy/dx – y = x4 – 3x is
A x
B log x
C 1/2
D -x

Answer:1/2
14 The differential equation for which y = a cos x + b sin x is a solution is
A
B
C
D

Answer:
15 The solution of dy/dx + y = e-x, y (0) = 0 is
A y = ex(x – 1)
B y = xe-x
C y = xe-x + 1
D y = (x + 1 )e-x

Answer:y = xe-x
16 If y dx + y2 dy = x dy, x ∈ R, y > 0 and y(1) = 1, then y(-3) =
A 3
B 2
C 1
D 5

Answer:3
17 The differential equation determines a family of circle with
A variable radii and fixed centre (0, 1)
B variable radii and fixed centre (0, -1)
C fixed radius 1 and variable centre on x-axis
D fixed radius 1 and variable centre on y-axis

Answer:fixed radius 1 and variable centre on x-axis
18 The particular solution In(dy/dx) = 3x + 4y, y(0) = 0 is
A e3x + 3e-4y = 4
B 4e3x – 3e-4y = 3
C 3e3x + 4e4y = 7
D 4e3x + 3e-4y = 7

Answer:4e3x + 3e-4y = 7
19 The solution of differential equation dy/dx=x−y/x+y is
A x2 – y2 + 2xy + c = 0
B x2 – y2 – xy + c = 0
C x2 – y2 + xy + c = 0
D x2 – y2 – 2xy + c = 0

Answer:x2 – y2 – 2xy + c = 0
20 The solution of the differential equation x dy + (x + y) dx = 0 is
A
B
C
D None of these

Answer:

Chapters