Find the missing term in each of the following:
22
Answer: Option [B]Solution:
We have (12 + 42 + 52 + 32) × 10 = 510
(32 + 42 + 62 + 22) × 10 = 650
Hence, missing term = (42 + 22 + 82 + 32) × 10 = 930

Answer: Option [B]Solution:
We have (12 + 42 + 52 + 32) × 10 = 510
(32 + 42 + 62 + 22) × 10 = 650
Hence, missing term = (42 + 22 + 82 + 32) × 10 = 930

Answer: Option [A]
Solution:
As 36, 12 is divisible by 4
and 32, 16 is divisible by 8
Similarly, 17, 17 is divisible by 17

Answer: Option [B]
Solution:
We have 82 = 64 and 83 = 512
42 = 16 and 43 = 64
Hence, missing number = 52 = 25 and 53 = 125

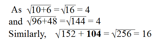
Answer: Option [C]
Solution:
As (18 + 17) + (9 - 6) = 38
and (12 + 12) + (8 - 3) = 29
So, the missing term = (13 + 8) + (11 - 7) = 25

Answer: Option [A]
Solution:
As, 9 × 7 × 5 = 315
and 5 × 3 × 8 = 120
Similarly, 8 × 7 × ? = 168 ⇒ 168 ÷ 56 = 3

Answer: Option [B]
Solution:
As, (35 + 20 + 28) - 43 = 40
and (28 + 11 + 16) - 35 = 40
So the missing number = (25 + 35 + 40) - 32 = 68